摘要: 关于电容性发光的几个问题的回答。
问:在放大器研讨会系列、早期的《对话》杂志和一些设计工具等书籍中发表了很多关于处理电容损耗和其他稳定性问题的信息。但是,我现在需要复习一下。
答:好的。遵命!
容性负载经常会引起问题,部分原因是它们会降低输出带宽和摆压率,但主要是因为它们在运放反馈回路中产生的相位滞后会导致不稳定。虽然一些电容损耗是不可避免的,但放大器经常受到足够的电容损耗,导致过调、振铃甚至振荡。当必须驱动大容性负载(如LCD面板或端接不良的同轴电缆)时,这个问题尤其严重,但在精密低频和直流应用中也可能导致令人不快的意外。
如图所示,当运放配置为单位增益跟随器时,最容易出现不稳定,因为(a)环路中没有衰减,或(b)较大的共模振荡,虽然不会对信号增益的精度产生实质性影响,但会将环路增益调制到不稳定区域。
运放驱动容性负载的能力受到以下几个因素的影响:
放大器的内部结构(例如,输出阻抗、增益和相位裕度、内部补偿电路)
负载阻抗的性质
反馈电路的衰减和相移,包括输出负载、输入阻抗和杂散电容的影响。
在上述参数中,由输出电阻R(O)表示的放大器输出阻抗是影响容性负载性能的一个最大因素。理想情况下,R(O) = 0的稳定运放将驱动任何容性负载而不会出现相位退化。
为了避免在轻负载情况下牺牲性能,大多数放大器内部对大量容性负载没有进行大量补偿,因此必须使用外部补偿技术来优化那些必须处理运放输出处大容性负载的应用。典型的应用包括采样保持放大器,峰值检测器和驱动非端接同轴电缆。
如图1和图2所示,无论有源输入是在非反相端还是反相端,电容值lo对开环增益的影响都是一样的:负载电容C(L)与开环输出电阻R(O)形成一极。负载增益可表示为:

A为放大器的空载开环增益。
由极贡献的-20 dB/ 10年斜率和90°滞后,加上放大器贡献的-20 dB斜率和90°滞后(加上任何其他现有滞后),导致闭合率(ROC)增加到每10年至少40 dB的值,这反过来又导致不稳定。
本文讨论了电容性负载对某些放大电路性能影响的典型问题,并提出了解决电容性负载带来的不稳定性问题的技术建议。


问:所以,不同的赛道需要不同的技术?
答:是的,绝对!您将选择最适合您的设计的补偿技术。下面是一些详细的例子。例如,这里有一种补偿技术,它具有通过RC反馈电路滤波运算放大器噪声的额外好处。

图3显示了一种常用的补偿技术,通常称为环内补偿。一个小的串联电阻R(x)用于将放大器输出与C(L)去耦;在反馈回路中插入一个小电容C(f),在C(L)周围提供高频旁路。
为了更好地理解这种技术,请考虑图4所示电路的重新绘制的反馈部分。VB连接到放大器的负输入端。

把电容器C(f)和C(L)看作直流时的开路,高频时的短路。考虑到这一点,并参考图4中的电路,让我们一次对一个电容器应用此原理。
案例1(图5a):
C(f)缩短,R(x) <<R(f)和R(o) <<R(in),极点和零点是C(L) R(o)和R(x)的函数。

因此,

和

例2。(图5 b):
当C(L)打开时,极点和零点是C(f)的函数。

因此,

通过将情形1中的极点等同于情形2中的极点,将情形2中的极点等同于情形1中的极点,我们推导出以下两个方程:

C(f)的公式包括A(cl)项(放大器闭环增益,1+ R(f) / R(in))。通过实验发现,C(f)的公式中需要包含1/ A(cl)项。对于上述电路,仅这两个方程就可以对任何施加电容性负载的运放进行补偿。
虽然这种方法有助于防止大容性负载时的振荡,但它大大减少了闭环带宽。带宽不再由运放决定,而是由外部元件C(f)和R(f)决定,产生闭环带宽:f (-3 dB) = 1/(2π C(f)R(f))。
这种补偿技术的一个很好的实际例子是AD8510,该放大器可以安全地驱动高达200pf,同时在单位增益交叉时仍然保持45°相位裕度。图3电路中的AD8510,配置增益为10,输出负载电容为1-nF,典型输出阻抗为15欧姆,使用上述公式计算R(x)和C(f)的值分别为2欧姆和2 pF。图6和7的方波响应显示出无补偿振声的快速响应,以及较慢的单调校正响应。


在图7中,请注意,因为R(x)在反馈回路内,所以它的存在不会降低直流精度。然而,R(x)应始终保持适当的小,以避免过度的输出摆动减少和回转速率退化。
警告:这里讨论的行为是典型的经验与常用的电压反馈放大器。使用电流反馈的放大器需要不同的处理,这超出了本文的讨论范围。如果这些技术与电流反馈放大器一起使用,则C(f)固有的积分将导致不稳定。
问:有没有使用更少组件的更简单的补偿方案?
答:是的,最简单的方法是使用一个外部电阻串联输出。这种方法是有效的,但在性能方面代价高昂(图8)。

这里,在输出和负载之间放置一个电阻R(串联)。该电阻器的主要功能是将运放输出和反馈网络与容性负载隔离开来。从功能上讲,它在反馈网络的传递函数中引入了一个零,从而减少了环路在较高频率下的相移。为了确保良好的稳定性,R(系列)的值应使加零至少比放大器电路的单位增益交叉带宽低十倍。所需的串联电阻量主要取决于所用放大器的输出阻抗;通常从5欧姆到50欧姆的值足以防止不稳定。图9显示了OP1177在2-nF负载下的输出响应,其正输入为200 mv峰值信号。图10显示了相同条件下的输出响应,但信号路径中有一个50欧姆的电阻。


输出信号将被串联电阻与总电阻的比值衰减。这将需要一个更宽的放大器输出摆幅来获得满量程负载电压。非线性或可变负载会影响输出信号的形状和幅度。
问:如果我使用的是轨对轨放大器,你能建议一种稳定方法,既能保持输出摆幅,又能保持增益精度吗?
答:是的,对于从输出到地的R-C系列电路,在需要全输出摆幅的较低电压应用中,建议采用缓冲方法(图11)。

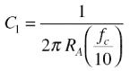
根据容性负载的不同,应用工程师通常采用经验方法来确定R(s)和C(s)的正确值。这里的原理是在峰值附近的频率处电阻负载降低放大器的输出,从而降低放大器的增益,然后使用串联电容降低较低频率处的损耗。因此,步骤是:检查放大器的频率响应以确定峰值频率;然后,实验应用电阻长(R(s))值将峰值降低到满意的值;然后,计算在峰值频率约1/3处的中断频率的C(s)值。因此,C(s) = 3/(2π f(p)R(s)),其中f(p)是出现峰值的频率。
这些值也可以通过在示波器上观察瞬态响应(带电容损耗)时的反复试验来确定。R(s)和C(s)的理想值将产生最小的超调和过调。图12显示了负载为68-nF时AD8698对正输入400 mv信号的输出响应。在没有任何外部补偿的情况下,超调量小于25%。一个简单的缓冲网络将超调量降低到10%以下,如图13所示。在这种情况下,R(s)和C(s)分别为30欧姆和5nf。


问:好的。我理解这些关于处理放大器输出电容损耗的例子。现在,输入端电容也值得关注吗?
答:是的,运放输入端的电容性过长会导致稳定性问题。我们来看几个例子。
当运放用作电流输出DAC的缓冲/放大器时,一个非常常见和典型的应用是在电流-电压转换中。输入端的总电容由DAC输出电容、运放输入电容和杂散布线电容组成。
另一种在运放输入端可能出现显著电容的流行应用是滤波器设计。一些工程师可能会在输入端放置一个大电容(通常与一个电阻串联),以防止射频噪声通过放大器传播,而忽略了这种方法可能导致严重的振铃甚至振荡的事实。
为了更好地理解代表性案例的情况,我们分析图14的电路,展开其反馈电路(输入,V (in),接地)的等量,得出反馈传递函数:

这就给出了极点的位置


该函数表明噪声增益(1/β)曲线在中断频率f(p)之上以20 dB/ 10年的速度上升。如果f(p)远低于开环单位增益频率,则系统变得不稳定。这相当于闭合速率约为40 dB/decade。闭合速率定义为开环增益(dB)图的斜率(在大多数感兴趣的频率下为-20 dB/ 10年)与1/β的斜率之间的差值的大小,在它们相交的频率附近(环路增益= 0 dB)。
为了消除C(1)引起的不稳定性,电容器C(f)可以与R(2)并联,提供一个可以与极f(p)匹配的零点,以降低闭合率,从而增加相裕度。对于相位裕度为90°时,选择C(f) =(R (1)/ R (2)) C(1)。
图15显示了图14配置下AD8605的频率响应。

问:我能预测相位裕度是多少吗?或者我应该期待多少峰值?
答:是的,方法如下:
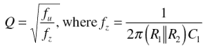
您可以使用以下公式确定未补偿峰值的数量:

其中f(u)为单位增益带宽,f(z)为1/β曲线的断点,C(1)为总电容(包括内部和外部),包括任何寄生电容。
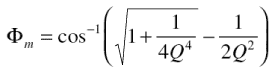
相裕度Φ (m)可由下式确定:

AD8605的总输入电容约为7pf,假设寄生电容约为5pf,使用上述公式,闭环增益将具有5.5 dB的严重峰值。以同样的方式,相位裕度约为29°,比运算放大器的自然相位响应64°严重退化。
问:如果我想在输入端直接使用RC滤波器,如何确保运放电路稳定?
答:您可以使用与上面描述的类似的技术。这里有一个例子:
通常需要使用电容从放大器的有源输入端接地,以减少高频干扰,射频干扰和电磁干扰。随着杂散电容的增加,该滤波电容对运放动态有类似的影响。由于并非所有运放都以相同的方式工作,因此有些运放的输入容忍度会比其他运放的小。因此,在任何情况下,引入反馈电容C(f)作为补偿都是有用的。为了进一步降低RFI,放大器终端的一个小串联电阻将与放大器的输入电容结合在r0频率处进行滤波。图16显示了一种方法(左图),与相当改进的电路(右图)相比,这种方法难以保持稳定性。图17显示了它们叠加的方波响应。


问:你之前提到杂散电容被加到总输入电容中。杂散电容有多重要?
答:未预料到的杂散电容会对运放的稳定性产生不利影响。预测并尽量减少杂散电容是非常重要的。
电路板布局可能是杂散输入电容的主要来源。该电容发生在运放求和结的输入走线处。例如,一平方厘米的PC板,周围有一个接地面,将产生约2.8 pF的电容(取决于板的厚度)。
为了减少这种电容:总是保持输入走线尽可能短。将反馈电阻和输入源尽可能靠近运放输入端。保持接地平面远离运放,特别是输入端,除非电路需要并且非反相引脚接地。当确实需要接地时,使用宽走线以确保到地的低电阻路径。
问:单位增益不稳定的运放可以用于单位增益吗?OP37是一个很好的放大器,但它必须在至少5的增益下使用才能稳定。
答:你可以通过欺骗来使用这样的运算放大器来获得较低的增益。图18显示了一种有用的方法。

在图18中,R(B)和R(A)在高频时提供足够的闭环增益以稳定放大器,而C(1)在低频和直流时使其恢复一致。基于放大器的最小稳定增益,计算R(B)和R(A)的值相当简单。在OP37的情况下,放大器需要至少5的闭环增益才能保持稳定,因此β = 1/5时R(B) = 4r (a)。对于高频,其中C(1)表现得像一个直接连接,运放认为它的闭环增益为5,因此是稳定的。在直流和低频,其中C(1)表现得像开路,没有负反馈的衰减,电路表现得像单位增益跟随器。
下一步是计算电容C(1)的值。应该选择一个好的C(1)值,这样它将提供至少比电路的拐角频率(f (-3 dB))低十年的断开频率。

图19显示了OP37响应2v p-p输入步进的输出。补偿分量的值使用上述公式选择,其中f(c) = 16 MHz


问:这种方法也可以用于反相配置吗?我还能用同样的方程吗?
答:对于反相结构,分析是相似的,但闭环增益的方程略有不同。记住,运放反相端的输入电阻现在在高频时与R(A)并联。该并联组合用于计算最小稳定增益的R(A)值。电容值C(1)的计算方法与非反相情况相同。
问:使用这种技术有什么缺点吗?
答:确实有。增加噪声增益将增加在较高频率下的输出噪声电平,这在某些应用中可能是不可容忍的。在布线时应小心,特别是在高源阻抗的情况下,在从动器配置中。原因是,在增益大于1的频率上,通过电容到放大器非反相输入的正反馈会引起不稳定,并增加噪声。
社群二维码
关注“华强商城“微信公众号
Copyright 2010-2023 hqbuy.com,Inc.All right reserved. 服务热线:400-830-6691 粤ICP备05106676号 经营许可证:粤B2-20210308