摘要: 改进的LDO稳压器吸收pecl终止电流
在标准的pecl端接电路中加入一个晶体管将吸收电流提高到4A。
早期的PECL终止电路(作为设计摘要发表在2004年1月19日的《电子设计》杂志上)提供了400ma的输出电流能力,足以终止大约14对PECL差分输出。该电路已代表需要超过400mA的设计师重新审视。增加一个电阻可使可用输出电流增加300%,增加一个晶体管可使输出能力提高到4A。
将R(sink)添加到原始电路(图1)中,增加了电流吸收能力,如下所示。知道输出电压为1.3V,设置电阻吸收电流在所需400mA范围的下端。例如,如果中程电流为1A,则将电阻设置为下沉800mA (1.3V/0.8A = 1.625欧姆),则允许输出电流范围为0.8A至1.2A。确保电阻器的额定功率可以承受。如果期望的输出电流范围已知且不超过400mA,则该方法工作良好。(如果I(OUT)小于0.8A, IC会脱轨;如果大于1.2A,则进入限流保护模式,也会导致失规。)

图1所示 例如,在基本电路中增加一个电阻器可以提高输出电流范围,但在400mA时,输出电流范围仍然只有0.8A到1.2A。
增加输出电流的更好方法是在输出端增加一个pnp晶体管(图2)。IC的引脚5吸收来自晶体管的基极电流,通过使电流通过集电极而保持调节。电流受晶体管特性的限制。使用所示的组件(包括一个TIP42B pnp功率晶体管),最大输出电流为4A。图2电路(与图1不同)保持在最大电流水平。选择高增益晶体管以获得高输出电流,但避免达灵顿晶体管——达灵顿晶体管的V(BE)约为1.4V,大于1.3V输出电压。

图2 增加输出电流的一个更好的方法是在输出端增加一个pnp晶体管。(TIP42B功率晶体管的输出范围为0到4A。)
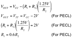
反馈电阻R1、R2值的计算公式与原电路相同:

这个设计理念出现在2005年6月20日的《电子时报》上。
社群二维码
关注“华强商城“微信公众号
Copyright 2010-2023 hqbuy.com,Inc.All right reserved. 服务热线:400-830-6691 粤ICP备05106676号 经营许可证:粤B2-20210308